Trong quá trình học và làm bài tập, bài kiểm tra môn toán cấp 3, học sinh thường phải sử dụng rất nhiều công thức quan trọng và dễ nhầm lẫn, một trong số đó là bảng đạo hàm, đạo hàm lượng giác, bảng nguyên hàm. Để các học sinh có thể lưu lại công thức và nhớ dễ dàng nhất, Toàn Cầu đã tổng hợp đầy đủ và chính xác nhất các bảng công thức đạo hàm, đạo hàm lượng giác, đạo hàm cấp cao… Đây là những kiến thức về đạo hàm căn bản và vô cùng quan trọng đối với các em học sinh chuẩn bị cho các kỳ thi học kỳ, kiểm tra, kỳ thi Trung học phổ thông Quốc gia (THPT Quốc gia).
Mục lục
Đạo hàm là gì?
Đạo hàm là tỉ số giữa số gia của hàm số và số gia của đối số tại điểm x0, thực chất là sự mô tả sự biến thiên của hàm số tại một điểm nào đó và độ lớn của biến thiên này. Đạo hàm có ý nghĩa trong giải tích toán học và vật lý. Đạo hàm có biểu diễn trong hình học là hệ số góc của tiếp tuyến với đồ thị biểu diễn hàm số. Về vật lý, đạo hàm biểu diễn vận tốc tức thời của một chất điểm chuyển động hoặc cường độ dòng điện tức thời tại một điểm trên dây dẫn.

Quy tắc cơ bản của tính đạo hàm

Công thức đạo hàm cơ bản

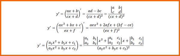
Đạo hàm phân thức hữu tỉ thường gặp

Bảng đạo hàm cấp cao đầy đủ và công thức Lepnit
Định nghĩa đạo hàm cấp cao :
Giả sử hàm số y = f(x) có đạo hàm f'(x)
Đạo hàm của hàm số f'(x), nếu có, được gọi là đạo hàm cấp hai của hàm số f(x), kí hiệu là y” hay f”(x).
Đạo hàm của hàm số f”(x), nếu có, được gọi là đạo hàm cấp ba của hàm số f(x), kí hiệu là y”’ hay f”'(x).
Tương tự, đạo hàm của đạo hàm cấp (n-1) được gọi là đạo hàm cấp n của hàm số y = f(x), kí hiệu là y(n) hay f(n)(x).
f(n)(x)=[f(n−1)(x)]′f(n)(x)=[f(n−1)(x)]′ , với n thuộc Z và n >= 2

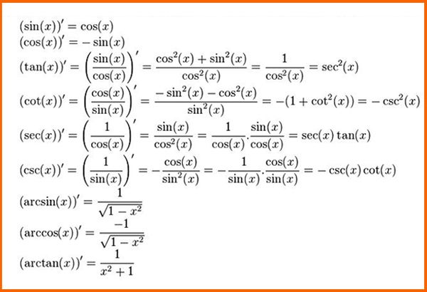
Công thức đạo hàm lượng giác

Bảng đạo hàm và nguyên hàm
Giải thích một cách đơn giản dễ hiểu nhất thì nguyên hàm là phép tính ngược lại với đạo hàm. Vì vậy để cho dễ nhớ thì thông thường người ta vẫn thường tổng hợp bảng đạo hàm mở rộng kèm với nguyên hàm để dễ nhớ và so sánh

Tính đạo hàm bằng máy tính như thế nào?
Máy tính cầm tay là một công cụ đắc lực trong việc tính đạo hàm cấp 1, cấp 2. Tính đạo hàm bằng máy tính mang lại kết quả có độ chính xác cao và các thao tác thực hiện rất dễ dàng như sau:
– Tính đạo hàm cấp 1
– Tính đạo hàm cấp 2
– Dự đoán công thức đạo hàm bậc n :
+ Bước 1: Tính đạo hàm cấp 1, đạo hàm cấp 2, đạo hàm cấp 3.
+ Bước 2: Tìm quy luật về số, quy luật về dấu, về hệ số, về biến số, về số mũ rồi rút ra công thức tổng quát.

Bảng đạo hàm trên khá đầy đủ và tổng hợp được các kiến thức chính mà học sinh cần nhớ khi làm toán về đạo hàm. Để ghi nhớ các công thức đạo hàm, bên cạnh việc học thuộc, người học cần hiểu rõ bản chất của các phép đạo hàm. Bằng cách đó ngay cả khi quên công thức ta vẫn có thể tìm cách để có được đáp án cho phép đạo hàm. Ngoài ra để nhớ nhanh các công thức đạo hàm điều quan trọng là phải biết cách vận dụng vào các bài tập khác nhau. Gia sư Toàn Cầu chúc các bạn học tập thật tốt và đạt kết quả cao trong các kì thi nhé!